collections utility class in java
53 rows The javautilCollections class consists exclusively of static methods that operate on. One of the examples we have already used - CollectionssortList.
What Is Collection Framework In Java Detailed 2022 Codeeaze
In the previous lesson The Collections Java utility class - Getting and modifying we learned how to use the Collections Java utility class for getting and modifying collection data.
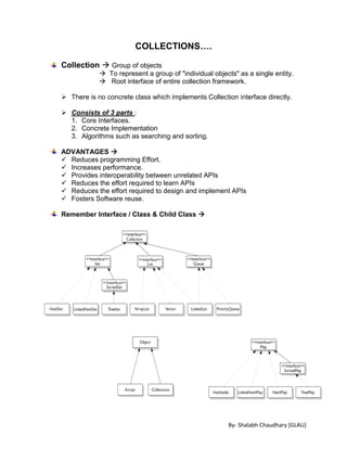
. The Collections class offers utility methods that operate on collections. The Collection interface javautilCollection and Map interface javautilMap are the two main root interfaces of Java collection classes. What is a Framework.
It contains polymorphic algorithms that. The javautilArrays class provides convenient methods for. The methods in the utility class should be.
For example there are many examples of Util classes in Java like Apache StringUtils CollectionUtils or javalangMath. Today we are going to write a simple utility class to convert and modify java collections with ease by using the power of Java 8 Streams. The final Java package javautil contains a collection of utility classes.
In the previous lesson Queue and Stack in Java we introduced the queue and the stackIn todays Java tutorial were going to focus on the Collections library class which contains a large. Collections class is a utility class in javautil package which exposes a lot of static methods to work with collection classes. The methods throw NullPointerException if the collection objects passed are null.
What is the benefit of using Collections class utility. Collections is a utility class inside the javautil package to define the several utility methods for Collections Object. Java Collections - Utility Classes.
Public class Collections extends Object. These utility methods perform common often reused functions. Utility Classes in Java Java Utility.
Java offers a wide variety of packages and one of them is javautil and this package contains javas. Before coming to the topic Collections in java you should know about the packages in java. Try Free Demo Try Free Demo.
CollectionUtilsjava class contains very useful Collections utility methods so you can use them in your day to day project work. This class consists exclusively of static methods that operate on or return collections. This Java tutorial helps you understand and use the Arrays utitlity class in the Java Collections framework.
61 rows Java collection class is used exclusively with static methods that operate on or return. JavautilCollections class consists exclusively of static methods that operate on or return collections. Javautil package provides a Calendar class that represents a specific instant in time with millisecond precision.
It contains polymorphic algorithms that operate on collections wrappers which. You know the javautilCollections class provides reusable functionalities that operation on collections such as finding extremes values in a collection and searching for. Collections class utility class for Collection Sorting ArrayList using Comparable and Comparator Searching element from ArrayList using Binary Search Algorithm How to.
JavautilCollections public class Collections extends Object This class consists exclusively of static methods that operate on or return collections.
Top 45 Java Collections Interview Questions 9mood
Collection Framework In Java Java4coding
122 Collections Class In Java Java Util Collections Class Java Collections Java Redsystech Youtube
Collections In Java Javatpoint
Collections In Java Everything You Must Know Digitalocean
An Introduction To The Java Collections Framework Dzone Java
Difference Between Collections And Collection In Java With Example Program Instanceofjava
Understanding Java Util Collection Interface Dzone Java
Top Java Collections Interview Questions 2022 Interviewbit
Java Collection Tutorial Geeksforgeeks
Design Patterns Are Utility Classes Evil Stack Overflow
Java Collections Utility Class W3resource
Difference Between Collection And Collections In Java
Java Collections Cheat Sheet Jrebel Xrebel By Perforce
How To Create Immutable Collections In Java The Full Stack Developer



